Oi, gente! Tudo bem? O post dessa semana é uma proposta de sequência didática sobre radioatividade que elaborei para uma disciplina do mestrado. Ela tem um tema sério, usa o contexto político da morte do ex-espião russo Alexander Litvinenko (2006) como tema inicial e chega ao nosso acidente radiológico nacional, que ocorreu em Goiânia (1987)! Confira e me conte o que acha. 😉

Pular para ↷
Plano de aula
Quadro sintético da proposta
Adaptações da proposta
Downloads
Essa proposta que mostro no “Plano de aulas” abaixo é um pouco extensa em dois aspectos: o texto do plano de aulas em si desse post, porque é bem descritivo com seus vários tópicos; e em número de aulas e estratégias, porque quis explorar o máximo de recursos que acreditei naquela época se encaixarem na situação, no tempo estipulado. Por isso:
- Montei um quadro sintético da proposta para facilitar a nossa visualização – o que acho muito útil também na hora de implementar uma sequência didática nova, para não me perder! 🙂
- Sinta-se à vontade para fazer as adaptações que achar pertinente! 🙂 Segui 3 divisões teóricas que comentarei abaixo, mas você pode modificá-las, reduzi-las, claro. Dei algumas sugestões aqui. Me conte nos comentários como faria ou quais trechos da proposta você usaria! 😉

Quem foi Alexander Litvinenko?
Ex-oficial russo naturalizado britânico do Serviço Federal de Segurança (SFS) especializado no combate ao crime organizado. De acordo com diplomatas dos Estados Unidos, Litvinenko cunhou a expressão “Estado mafioso”. Em novembro de 1998, Litvinenko e vários outros oficiais do SFS acusaram publicamente seus superiores de ordenar o assassinato do magnata e oligarca russo Boris Berezovsky. Litvinenko foi preso no mês de março seguinte, acusado de exceder a autoridade de sua posição. Ele foi absolvido em novembro de 1999, mas foi preso novamente antes que as acusações fossem novamente julgadas em 2000. Ele fugiu com sua família para Londres e recebeu asilo político no Reino Unido, onde trabalhou como jornalista, escritor e consultor dos serviços de inteligência britânicos.
Durante seu tempo em Londres, Litvinenko escreveu dois livros, “Blowing Up Russia: Terror from Within” [foto acima] e “Lubyanka Criminal Group”, em que acusou os serviços secretos russos de encenar os atentados a bomba contra apartamentos russos e outros atos terroristas, como as crises de reféns da escola de Beslan e do teatro de Dubrovka, em um esforço para levar Vladimir Putin ao poder. Ele também acusou Putin de ordenar o assassinato, em outubro de 2006, da jornalista russa Anna Politkovskaya (Wikipédia).
Faleceu “misteriosamente” no mês seguinte.
–
Saber mais: Algumas notícias para conhecer melhor o caso Alexander Litvinenko:
- “Ex-espião russo foi envenenado com material radioativo“
- “Entenda o caso do espião russo envenenado em Londres” (+)
- “Polônio é elemento radioativo ‘ideal para assassinato’“
- “Rara, substância radioativa que matou espião russo é usada para pesquisa“
- “Putin ‘provavelmente’ aprovou assassinato de espião russo em Londres, conclui relatório“
No meu Produto Educacional (post em breve), na sequência de ensino “Aspectos biológicos das radiações ionizantes” (p. 111), proponho de outra forma o uso da história de Litvinenko (em conjunto com Chernobyl e Marie Curie). Nela, o contexto político que levou à sua morte é melhor discutido em aula do que na proposta desse post.

O que foi o acidente radiológico em Goiânia?
Amplamente conhecido como acidente com o césio-137, foi um grave episódio de contaminação por radioatividade ocorrido no Brasil. A contaminação teve início em 13 de setembro de 1987, quando um aparelho utilizado em radioterapias foi encontrado dentro de uma clínica abandonada, no centro de Goiânia, em Goiás. Foi classificado como nível 5 (acidentes com consequências de longo alcance) na Escala Internacional de Acidentes Nucleares, que vai de zero a sete, em que o menor valor corresponde a um desvio, sem significação para segurança, enquanto no outro extremo estão localizados os acidentes graves.
O instrumento foi encontrado por catadores de um ferro-velho do local, que entenderam tratar-se de sucata. Foi desmontado e repassado para terceiros, gerando um rastro de contaminação, o qual afetou seriamente a saúde de centenas de pessoas. O acidente com césio-137 foi o maior acidente radioativo do Brasil e o maior do mundo ocorrido fora das usinas nucleares, além de ser considerado também o maior incidente envolvendo uma fonte radioativa desde sempre (Wikipédia).
–
Saber mais: Algumas notícias para conhecer melhor sobre o acidente em Goiânia:
- “Césio 137: O mais grave acidente radioativo do Brasil completa 30 anos“
- “A gente não vive, vegeta’: vítimas do césio-137 relatam dor 33 anos depois“
- “O caso césio-137: 5 fatos cruciais sobre o pior acidente nuclear do Brasil“
- “Césio 30 anos: Série do G1 Goiás reconta o maior acidente radiológico do mundo“
- “Como césio-137 em Goiânia pôs Brasil no mapa de piores acidentes radioativos do mundo“
Plano de aulas
Assunto: Radioatividade / Física Nuclear
Número de aulas: 6 de 50 minutos (Aproximadamente)
Origem: Adaptação de trabalho para Física Moderna e Contemporânea (PPGECMT/UDESC)
Sumário
1. Temas
2. Conteúdos curriculares
3. Objetivos
4. Competências e habilidades
5. Etapas e estratégias de ensino
6. Recursos didático-metodológicos
7. Avaliação
8. Referências
1. Temas
A temática da aula envolverá o caso de envenenamento do ex-espião russo Alexander Litvinenko em 2006, que faleceu por conta das emissões radioativas do polônio-210. Também será trabalhado o caso do acidente radioativo ocorrido em Goiânia em 1987 envolvendo o elemento césio-137. A aula está estruturada conforme os Três Momentos Pedagógicos de Delizoicov, Angotti & Pernambuco, sendo o caso Litvinenko a Problematização Inicial (1º Momento Pedagógico) e situação trabalhada na Organização do Conhecimento (2º Momento Pedagógico). O acidente radioativo em Goiânia é o contexto de trabalho da Aplicação do Conhecimento (3º Momento Pedagógico).
2. Conteúdos curriculares
• Radioatividade;
• Decaimentos radioativos: partículas alfa e beta e radiação gama;
• Isótopos radioativos;
• Período de meia-vida;
• Interação da radiação nuclear com organismo.
3. Objetivos
• Conhecer o fenômeno da radioatividade e as suas emissões radioativas;
• Entender a interação das emissões radioativas com o corpo humano.
4. Competências e habilidades
De acordo com o Base Nacional Comum Curricular*, documento atual que orienta as ações educacionais:
Ensino Fundamental**
• Competências: 2, 3, 4, 5 e 6;
• Habilidades: 7º ano – EF07CI08, 9º ano – EF09CI06 e EF09CI07.
Ensino Médio
• Competências: 1 e 3;
• Habilidades: 1 – EM13CNT103 e EM13CNT104, 3 – EM13CNT301, EM13CNT302, EM13CNT303, EM13CNT305 e EM13CNT306.
*Um post atual já foi feito sobre a BNCC e o ensino de Química/Ciências.
**Acho que talvez essa proposta não seja adequada ao Fundamental, mas indico aqui algumas relações possíveis com a BNCC.
–
5. Etapas e estratégias de ensino
Lembrando que essas etapas estão resumidas no quadro sintético após o Plano de Aulas, para facilitar a visualização geral, implementação ou adaptação.
1º Momento Pedagógico – Problematização Inicial
► Etapa 1: Trecho do filme “Transcendence: A Revolução” (2014)

________
Sinopse
Dr. Will Caster, a maior autoridade do mundo em inteligência artificial, está conduzindo experimentos altamente controversos, na intenção de criar um robô com grande variedade de emoções humanas. Quando extremistas anti-tecnologia tentam matá-lo, Caster convence sua esposa, Evelyn, e seu melhor amigo, Max Waters, a testar seu novo invento nele mesmo. Só que a grande questão não é se eles podem fazer isto, mas se eles devem dar este passo.
________
No início da aula, pode ser reproduzido o trecho do filme Transcendence de 11:20-11:45, que trata da tentativa de assassinato do protagonista Will Carter (Johnny Depp) por meio do tiro de uma bala, que a princípio não o matou, mas lhe causou ferimentos. Em seguida, pode-se assistir o trecho de 16:13-18:05, demonstrando:
- O mal-estar do protagonista, por meio de vômitos;
- O diagnóstico desse mal-estar, que ocorreu devido à presença de um isótopo de polônio na bala que o atingiu;
- A consequente estimativa de vida de três a quatro semanas por conta desse elemento que o envenenou.

Observação: Caso você não tenha acesso aos meios digitais do filme (trechos mais completos), o trailer abaixo apresenta algumas dessas informações nos tempos 00:33-00:37 e 00:58-01:04.
–
Por que iniciar a aula assim?
O vídeo não é essencial, mas pensei em utilizar esses trechos a fim de fazer uma introdução e correlação ao que será estudado na sequência, um caso real de envenenamento por um isótopo de polônio (Alexander Litvinenko). Nesse início, o objetivo de utilizar o filme é também despertar o interesse dos alunos para uma situação científica apresentada em um meio artístico e cenográfico, com o qual os alunos podem até já ter tido contato se tiverem assistido ao filme previamente. 🙂

No meu caso, foi o filme Transcendence que me fez conhecer a história de Alexander Litvinenko, pois um comentário que li na internet dizia que o filme se inspirou no caso real!
(Créditos: Reprodução “Transcendence”/Alcon/DMG/Straight Up Films)
Se é verdade, eu já não sei… Você sabe?
Após os trechos terem sido reproduzidos, aos alunos podem ser lançadas questões para reflexão, como:
“Por que ter sido ferido por polônio reduziu o tempo de vida de Will Carter (Johnny Depp) para poucas semanas e lhe causou reações adversas no corpo?”
E as eventuais respostas dos alunos podem ser transcritas no quadro para posterior análise em conjunto (Etapa 3).

► Etapa 2: Leitura individual da notícia “Ex-espião russo foi envenenado com material radioativo” *
Em seguida, os alunos fazem a leitura individual da notícia, que trata do caso real de envenenamento por polônio, na forma do isótopo polônio-210. O texto foi escrito em 24/11/2006, um dia após o falecimento de Alexander Litvinenko, à época crítico do governo russo e exilado político na Grã-Bretanha – como comentado anteriormente.
*Por alguma razão, os sites de algumas das notícias estão bem desformatados. Abaixo, nos Downloads, disponibilizo os arquivos das notícias como estavam em 2018, quando preparei a sequência didática!

Para explicar o caso, a notícia traz em seus primeiros parágrafos os termos científicos “radiação”, “radioativo”, “polônio”, “polônio-210”, “isótopo radioativo” e “radiação alfa”, explicando posteriormente sobre a carreira russa de Litvinenko e a situação em que se encontrava.
Nesta atividade, os alunos podem ser orientados a marcar durante a leitura as palavras que desconhecem, tendo em vista que os termos científicos poderão ser pouco familiares!

► Etapa 3: Atividade de discussão da notícia em quartetos
Posteriormente, os alunos se reúnem para discutir o que compreenderam a partir da leitura anterior e os termos que (des)conhecem, anotando os pontos de discussão em uma folha para entregar. Essa folha poderá servir de material de análise inicial para o professor.

Nessa etapa, o objetivo é a socialização de ideias e a colaboração dos alunos para a discussão de termos científicos que podem eventualmente ser familiares para uns e desconhecidos por outros. Durante a atividade, o professor acompanha as discussões dos grupos ao percorrer pela sala, no sentido de analisar as interações e, se necessário, intervir para fomentar as discussões. Não com objetivo de fornecer respostas prontas. 🙂

Depois de terem discutido o que compreenderam sobre a notícia e suas concepções dos termos científicos anotados na folha, a Problematização Inicial é lançada aos grupos pelo professor:
“Por que Alexander Litvinenko morreu após ter ingerido polônio-210?”
Os alunos/grupos irão expor suas ideias à turma e o professor pode anotar no quadro suas hipóteses.
Pode ser comentado que o protagonista Will Carter (Johnny Depp) do trecho do filme visto anteriormente também teve o mesmo destino após ser ferido com uma bala contendo polônio, como as anotações do quadro da Etapa 1 (ainda presentes) indicam.
A notícia lida aborda os termos científicos, mas não os explica suficientemente.
Ou seja, a Problematização Inicial sobre o porquê da morte ainda precisará ser solucionada.
Há margem para os conceitos científicos serem estudados na etapa seguinte. 😉

Para Delizoicov, Angotti & Pernambuco, a Problematização Inicial é a primeira etapa dentro dos Três Momentos Pedagógicos e tem por objetivo desafiar os alunos a expor o que estão pensando acerca das situações. Segundo eles, no início, a descrição feita pelos estudantes prevalece, a fim de que o professor possa conhecer o que eles pensam sobre o assunto! 😉
________
“A meta é problematizar o conhecimento que os alunos vão expondo, de modo geral, com base em poucas questões propostas relativas ao tema e às situações significativas, questões inicialmente discutidas num pequeno grupo, para, em seguida, serem exploradas as posições dos vários grupos com toda a classe, no grande grupo.”
(Delizoicov, Angotti & Pernambuco, p. 200, grifo dos autores).
________
Nessa etapa da Problematização Inicial, o objetivo é fomentar explicações contraditórias, limitações e lacunas no conhecimento que os alunos podem possuir. Assim, se tem a intenção de fazer com que os estudantes percebam a necessidade de obter conhecimentos que ainda não possuem, a fim de poderem explicar os fatos trazidos pela problematização. 😀
2º Momento Pedagógico – Organização do Conhecimento
► Etapa 4: Pesquisa em duplas sobre os termos da notícia baseados em questões

A segunda etapa dos Três Momentos Pedagógicos é a Organização do Conhecimento. Nela são trabalhados os saberes necessários para a compreensão da problemática inicial evidenciada, havendo no processo a orientação do professor:
________
“Os conhecimentos selecionados como necessários para a compreensão dos temas e da problematização inicial são sistematicamente estudados neste momento, sob a orientação do professor. As mais variadas atividades são empregadas, de modo que o professor possa desenvolver a conceituação identificada como fundamental para uma compreensão científica das situações problematizadas. É neste momento que a resolução de problemas e exercícios, tais como os propostos em livros didáticos, pode desempenhar sua função formativa na apropriação de conhecimentos específicos.”
(Delizoicov, Angotti & Pernambuco, p. 201)
________
Eles afirmam a importância de formular questões-problema nessa etapa, tais como na Problematização Inicial, a fim de guiar o processo de aprendizagem dos estudantes. O objetivo é que a Organização do Conhecimento não se reduza apenas às resoluções de exercícios dos livros didáticos.
Nesta Etapa 4 as duplas são encorajadas a pesquisar em livros didáticos de Física ou Química e na internet os termos que apresentavam dúvidas e que comprometiam a compreensão total da notícia estudada na Etapa 2. Dentre os termos marcados pelos alunos, possivelmente estarão presentes:
- Radiação
- Radioativo
- Polônio
- Polônio-210
- Isótopo radioativo
- Radiação alfa

Maaas, para essa pesquisa dos alunos não ficar muito solta (ou eles dizerem que não têm dúvida em nada, nenhum dos termos, rs), elaborei alguns questionamentos que podem guiar a reflexão, pesquisa e estudo nessa Etapa 4. Os termos ou frases entre colchetes se referem ao assunto envolvido na questão e são apresentados aqui para esclarecimento dos profs, não são “respostas”.
1) O que é um elemento radioativo? [Radioatividade/instabilidade nuclear]
2) O que significa polônio-210? Qual a diferença entre ele e simplesmente “polônio”? [Diferença entre isótopos radioativos e elemento químico]
3) O que é a radiação alfa e de onde surge? Qual é a interação dela com o organismo? [Decaimento alfa e interação da radiação com o organismo]
4) Os elementos/isótopos radioativos só liberam radiação alfa? Quais são os outros tipos de radiação que eles podem liberar? [Diferentes isótopos e seus decaimentos alfa, beta e gama]
5) Por que o polônio-210 não conferiu um risco tão fatal a quem o transportava até as vítimas, tanto no caso de Litvinenko (que o ingeriu), quanto no de Will Carter (que foi baleado)? [Poder de penetração das emissões radioativas]
6) A existência de polônio-210 no ambiente ou no corpo humano pode durar eternamente, contaminando todo o local? Quanto tempo ele pode durar? [Lei do decaimento radioativo e tempo de meia-vida]
–

Como material de apoio, além dos livros e do acesso à internet (caso haja), às duplas podem ser entregues os materiais abaixo como subsídio para sua pesquisa e resposta às questões. Também se encontram posteriormente nos Downloads! 😉
Infográfico:
• “Entenda o caso do espião russo envenenado em Londres” (Fonte/Baixar)
Notícias:
• “Ex-espião russo foi envenenado com material radioativo” (Fonte/Baixar)
• “Polônio é elemento radioativo ‘ideal para assassinato'” (Fonte/Baixar)
• “Rara, substância radioativa que matou espião russo é usada para pesquisa” (Fonte/Baixar)
• “Putin ‘provavelmente’ aprovou assassinato de espião russo em Londres, conclui relatório” (Fonte/Baixar)
Internet:
• Existe mais uma infinidade de notícias – se for pesquisado em inglês existem mais materiais ainda! Principalmente porque quem conduziu a investigação que culminou no relatório de 2016 sobre sua morte, dez anos após o ocorrido, foi a Scotland Yard, polícia de Londres.

► Etapa 5: Socialização em grupos e mediação/explicação do professor
Os alunos podem se unir, em grupos, com membros que não fizeram parte de sua dupla anterior para socializar entre si as pesquisas e respostas às questões antecedentes. Nesse momento, o professor pode acompanhar as discussões passando pelos grupos e sanar eventuais dúvidas pontuais/gerais. Nessa etapa, podem ser explicados conceitos e esquemas no quadro ou projeção previamente preparada, sempre que necessário. Pode-se seguir a ordem das perguntas da Etapa 4 no momento da explicação, se preferir.

► Etapa 6: Elaboração de trabalho em cartaz/banner sobre o caso Litvinenko
Durante a aula, em equipes farão (ou iniciarão, finalizando em casa) um trabalho em cartaz ou banner sobre o caso Litvinenko, como se esse trabalho fosse uma materialização de sua compreensão e resposta à Problematização Inicial vista na Etapa 3. Estamos concluindo aqui a Organização do Conhecimento.
Nesse trabalho, podem abordar pequenos textos, desenhos e/ou colagens contemplando, além do caso de envenenamento estudado, os termos científicos: radioatividade, isótopos radioativos, decaimentos radioativos e partículas α, β e γ, poder de penetração das emissões radioativas, interação da radiação α com o organismo e tempo de meia-vida/lei do decaimento radioativo. Essa divisão no trabalho não é necessariamente uma orientação para tópicos ordenados, mas devem ser contemplados no trabalho! 😉 Os alunos podem acrescentar mais informações, se quiserem.

Como os trabalhos serão sobre o mesmo assunto, ficaria repetitiva a apresentação dos grupos para a própria sala. Então pode ser feita uma exposição dos trabalhos em diferentes pontos da escola, a fim de apresentar o tema à comunidade! 😉

3º Momento Pedagógico – Aplicação do Conhecimento
► Etapa 7: Reportagem e debate sobre uma nova situação, o acidente radiológico goiano
A última etapa dos Três Momentos Pedagógicos é a Aplicação do Conhecimento, em que é trazida uma nova situação problema, diferente da anterior. Nessa situação, o objetivo é que os estudantes possam resolvê-la a partir dos conhecimentos que vieram sendo adquiridos a partir da problemática inicial, mesmo que essa nova situação não esteja necessariamente relacionada com a anterior.
________
“Abordar sistematicamente o conhecimento que vem sendo incorporado pelo aluno, para analisar e interpretar tanto as situações iniciais que determinaram seu estudo, como outras situações que, embora não estejam diretamente ligadas ao motivo inicial, podem ser compreendidas pelo mesmo conhecimento. (…) A meta pretendida com este momento é muito mais a de capacitar os alunos ao emprego dos conhecimentos, no intuito de formá-los para que articulem, constante e rotineiramente, a conceituação científica com situações reais, do que simplesmente encontrar uma solução ao empregar algoritmos matemáticos que relacionam grandezas ou resolver qualquer outro problema típico dos livros textos. (…) É o potencial explicativo e conscientizador das teorias científicas que precisa ser explorado.”
(Delizoicov, Angotti & Pernambuco, p. 202)
________

Aos alunos pode ser apresentada a reportagem do Fantástico sobre os 30 anos do maior acidente radiológico brasileiro. Tendo em vista que a interação com o organismo das emissões radioativas β e γ não foi explorada na problematização anterior sobre Litvinenko, nessa atividade elas poderão estar presentes durante as discussões com a turma.
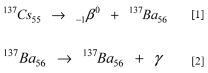
O decaimento radioativo do césio-137 envolve as radiações β e γ, como demonstrado pelas equações [1] e [2]. O decaimento alcança estabilidade na existência de bário-137, não radioativo.


Após a apresentação do vídeo, a turma poderá se organizar em um grande círculo e serão discutidas as informações que a reportagem trouxe. Isso pode ser feito por meio de perguntas iniciais do professor que guiarão o debate. Como, por exemplo:
● Como ocorreu o acidente em Goiânia? [Inicialmente, catadores de sucata encontraram um material de radioterapia numa antiga clínica abandonada, desmontaram e venderam a um ferro-velho. O dono desse local se encantou com um pó brilhante que havia em uma das peças e o distribuiu para a família, que passava o pó no corpo. Depois houve a suspeita de que esse pó pudesse ser perigoso e foi levado à vigilância sanitária, etc…]
● Qual era o elemento químico/isótopo envolvido? [Césio-137]
● Quais foram as consequências biológicas da exposição? [Queimaduras no corpo, morte, diarreia, náuseas, vômitos, perda de cabelo, perda dos dentes, anemia profunda, colapso do sistema nervoso central, mutação das células e câncer (leucemia)]
● O que pode ter causado esses efeitos no organismo? [As radiações emanadas]
● Por que as pessoas contaminadas com o césio-137 foram enterradas em caixões de chumbo, sendo que Litvinenko contaminado com polônio-210 foi enterrado em um caixão apenas “hermeticamente fechado”? [Litvinenko morreu por conta das radiações alfa (barradas com facilidade, menos penetrantes) e as vítimas de Goiânia estavam submetidas a outras radiações. Nessa etapa, ao perceberem que as vítimas foram enterradas em condições diferentes, caso não percebam que isso pode ter ocorrido por causa das outras radiações estudadas, o professor pode apresentar as equações [1] e [2] de decaimento radioativo e explicar]
● Quais as semelhanças e diferenças entre os casos Litvinenko e as vítimas de Goiânia? [Semelhanças: Efeitos causados por substâncias radioativas, morte, perda de cabelo… Diferenças: Isótopos diferentes, emissões radioativas diferentes, níveis de penetração na matéria distintos, número de mortos e feridos diferentes…]
● Outras questões… Sugira as suas nos comentários! 😉
► Etapa 8: Resolução de exercícios e problemas
Podem ser propostos aos alunos problemas selecionados nos livros didáticos que a escola adota, questões envolvendo os fenômenos da radioatividade, preferencialmente as que contemplem situações contextualizadas.

6. Recursos didático-metodológicos
Como descrito anteriormente, serão utilizados trechos de um filme; notícias e reportagens, tanto textuais quanto audiovisuais; discussões em grupos; pesquisa em duplas; tira-dúvidas com exposições de conceitos; elaboração de trabalho na forma de cartaz/banner e exposição na escola; discussões em turma; e resolução de exercícios.
7. Avaliação
Os alunos serão avaliados durante todas as aulas, à medida que participam das discussões utilizando argumentos para sustentar suas ideias. Também serão avaliados por meio do seu engajamento e cooperação nos trabalhos em equipe e individuais. Especificamente, a avaliação da aprendizagem dos conceitos ocorrerá a partir da análise da folha de discussões desenvolvida na Etapa 3 sobre a compreensão inicial dos alunos sobre a notícia. Também será avaliado o questionário respondido em duplas na Etapa 4 e as informações contidas no cartaz/banner desenvolvido na Etapa 6. Além disso, serão avaliados os argumentos apresentados na Etapa 7 sobre as questões para discussão e se os alunos são capazes de reconhecer problemas sobre radioatividade e resolver seus exercícios na Etapa 8.
8. Referências
BBC. Putin ‘provavelmente’ aprovou assassinato de espião russo em Londres, conclui relatório. BBC News, Brasil, 21 jan. 2016. Acesso em: 05 nov. 2018.
BRASIL. Ministério da Educação. Base Nacional Comum Curricular: Educação é a Base. 04 dez. 2018. Acesso em: 12 jan. 2020.
DELIZOICOV, Demétrio; ANGOTTI, José André; PERNAMBUCO, Marta Maria. Ensino de Ciências: Fundamentos e métodos. Coleção Docência em Formação. 3ª ed. São Paulo: Cortez, 2009. 364 p.
FANTÁSTICO. Césio 137: O mais grave acidente radioativo do Brasil completa 30 anos. 15 min. Exibição em: 3 set. 2017. Acesso em: 11 nov. 2018.
GLOBO. Ex-espião russo foi envenenado com material radioativo. Globo G1, Mundo, São Paulo, 24 nov. 2006. 2006. Acesso em: 5 nov. 2018.
GLOBO. Entenda o caso do espião russo envenenado em Londres. Globo G1, Mundo, São Paulo, 08 dez. 2006. 2006. Acesso em: 10 nov. 2018.
LOPES, Reinaldo José. Polônio é elemento radioativo ‘ideal para assassinato’. Globo G1, Ciência e Saúde, São Paulo, 15 dez. 2006. Acesso em: 10 nov. 2018.
UOL. Rara, substância radioativa que matou espião russo é usada para pesquisa. UOL Notícias, Londres, 21 jan. 2016. Acesso em: 05 nov. 2018.
TRANSCENDENCE: A revolução. Direção: Wally Pfister. Produção: Andrew A. Kosove; Broderick Johnson; Kate Cohen; Marisa Polvino; Annie Marter; David Valdes; e Aaron Ryder. Intérpretes: Johnny Depp; Rebecca Hall; Paul Bettany e outros. Roteiro: Jack Paglen. Produtora: Alcon Entertainment; DMG Entertainment; e Straight Up Films. Estados Unidos, 2014. DVD, (119 min), son., color.
Quadro sintético da proposta
1º Momento Pedagógico – Problematização inicial
| Etapa | Atividades |
|---|---|
| 1 [~10 min.] | ► Assistir trechos do filme “Transcendence: A revolução” (2014) [Filme: 11:20-11:45 e 16:13-18:05 ou Trailer: 00:33-00:37 e 00:58-01:04] ► Questão para reflexão e transcrição das respostas “Por que ter sido ferido por polônio reduziu o tempo de vida de Will Carter (Johnny Depp) para poucas semanas e lhe causou reações adversas no corpo?” Transcrição das respostas no quadro, para análise em conjunto (Etapa 3). |
| 2 [~15 min.] | ► Leitura individual da notícia “Ex-espião russo foi envenenado com material radioativo” Com marcação dos termos desconhecidos pelos alunos. |
| 3 [~30 min.] | ► Atividade de discussão da notícia em quartetos Discussão sobre o que compreenderam da notícia e os termos que (des)conhecem. Anotações em uma folha para entregar, a fim de que o professor conheça e tenha registrado as concepções iniciais dos grupos. * O professor acompanha as discussões dos grupos ao percorrer pela sala, analisando as interações. Se necessário, intervém para fomentar as discussões, não com objetivo de fornecer respostas prontas. ► Problematização inicial e levantamento de hipóteses “Por que Alexander Litvinenko morreu após ter ingerido polônio-210?” Socialização das hipóteses dos alunos/grupos com a turma e comparação com a situação de Will Carter (Johnny Depp) da Etapa 1. * Há a percepção dos alunos da necessidade em adquirir conhecimento para explicar a problemática posta em discussão (a notícia aborda mas não explica os conceitos suficientemente). |
2º Momento Pedagógico – Organização do Conhecimento
| Etapa | Atividades |
|---|---|
| 4 [~ 50 min.] | ► Pesquisa em duplas sobre os termos da notícia baseados em questões Em livro didático ou internet sobre os termos marcados na notícia e que apresentavam dúvidas, que comprometiam sua compreensão. Dentre eles poderão estar: “radioativo”, “radiação”, “polônio”, “polônio-210”, “isótopo radioativo” e “radiação alfa”. No caderno e/ou em folha para entregar: ⠀⠀⠀⠀1) O que é um elemento radioativo? ⠀⠀⠀⠀2) O que significa polônio-210? Qual a diferença entre ele e simplesmente “polônio”? ⠀⠀⠀⠀3) O que é a radiação alfa e de onde surge? Qual é a interação dela com o organismo? ⠀⠀⠀⠀4) Os elementos/isótopos radioativos só liberam radiação alfa? Quais são os outros tipos de radiação que eles podem liberar? ⠀⠀⠀⠀5) Por que o polônio-210 não conferiu um risco tão fatal a quem o transportava até as vítimas, tanto no caso de Litvinenko que o ingeriu ou a Will Carter (Johnny Depp) que foi baleado? ⠀⠀⠀⠀6) A existência de polônio-210 no ambiente ou no corpo humano pode durar eternamente, contaminando todo o local? Quanto tempo ele pode durar? * Material de apoio (Downloads): Poderá ser disponibilizado infográfico/notícias em cópias aos alunos para auxiliar na pesquisa e compreensão dos fenômenos, principalmente se não houver acesso à internet em sala. |
| 5 [~ 35 min.] | ► Socialização em grupos e mediação/explicação do professor Discussão em grupos da pesquisa anterior. Depois são expostas as discussões dos alunos à turma e sanadas as dúvidas pontuais ou gerais, em que o professor explica conceitos ou esquemas (no quadro ou em projeção já preparada), sempre que necessário. Pode-se seguir a ordem das perguntas da Etapa 4 no momento da explicação, se preferir. * Se possível, a equipe é composta por membros diferentes das duplas organizadas para a pesquisa, para discutirem e compararem as respostas com outros colegas. |
| 6 [~ 50 min.] | ► Elaboração de trabalho em cartaz/banner sobre o caso Litvinenko Em grupos, com início em sala (finalização em casa) sobre a temática envolvendo o ex-espião e os termos científicos imersos no contexto (a divisão do trabalho nesses tópicos não é obrigatória): ⠀⠀⠀⠀○ Radioatividade; ⠀⠀⠀⠀○ Isótopos radioativos; ⠀⠀⠀⠀○ Decaimentos radioativos; ⠀⠀⠀⠀○ Partículas α, β e γ; ⠀⠀⠀⠀○ Poder de penetração das emissões radioativas; ⠀⠀⠀⠀○ Interação da radiação α com o organismo; ⠀⠀⠀⠀○ Tempo de meia-vida/lei do decaimento radioativo. * Nesta atividade, o professor acompanhará o início do desenvolvimento do trabalho das equipes, sanando dúvidas, observando como os membros da equipe trabalham e as discussões envolvidas. * Colagem dos cartazes/banners em diferentes espaços da escola, para socializar as ideais à comunidade. |
3º Momento Pedagógico – Aplicação do conhecimento
| Etapa | Atividades |
| 7 [~ 15 min. + 30 min.] | ► Reportagem e debate sobre uma nova situação, o acidente radiológico goiano Assistir ao programa do Fantástico “Césio 137: o mais grave acidente radioativo do Brasil completa 30 anos“. Discussão em grande círculo sobre as informações trazidas pelo vídeo, a partir das perguntas iniciais do professor: ⠀⠀⠀⠀○ Como ocorreu o acidente em Goiânia? ⠀⠀⠀⠀○ Qual era o elemento químico/isótopo envolvido? ⠀⠀⠀⠀○ Quais foram as consequências biológicas da exposição? ⠀⠀⠀⠀○ O que pode ter causado esses efeitos no organismo? ⠀⠀⠀⠀○ Por que as pessoas contaminadas com o césio-137 foram enterradas em caixões de chumbo, sendo que Litvinenko, contaminado com polônio-210, foi enterrado em um caixão apenas “hermeticamente fechado”? ⠀⠀⠀⠀○ Quais as semelhanças e diferenças entre os casos Litvinenko e as vítimas de Goiânia? * Durante a discussão, caso os alunos desconheçam, quando for oportuno pode ser realizada a apresentação do decaimento radioativo do césio-137, em que estão presentes as emissões beta e gama. Sendo, assim, feitas correlações com os efeitos biológicos apresentados pelas vítimas do acidente. |
| 8 [~ 30 min.] | ► Resolução de exercícios e problemas Seleção prévia de questões, preferencialmente contextualizadas, propostas pelo livro didático/apostila que a escola adota. |
Adaptações da proposta
Pensei em algumas possibilidades para adaptarmos a proposta, que podem deixá-la mais compacta, mas podem trazer resultados um pouco diferentes. Mas se essa for a forma de colocá-la em prática, por que não, né? Não necessariamente essa é a sequência da nova proposta, são apenas sugestões pontuais:
1º Momento Pedagógico – Problematização Inicial
- Retirar a Etapa 1 (filme) e começar na Etapa 2 (notícia);
- Não fazer a discussão em quartetos na Etapa 3, fazer em geral apenas perguntando para a sala.
2º Momento Pedagógico – Organização do Conhecimento
- Fazer individualmente a pesquisa da Etapa 4, mas levará mais tempo para concluírem e gerará mais materiais para correção;
- Iniciar a pesquisa da Etapa 4 em sala, mas finalizar em casa;
- Fazer oralmente com a turma a Etapa 5, com socialização geral dos alunos sobre a pesquisa com o professor. Nesse momento, o professor vai explicando os conceitos e tirando as dúvidas que surgirem;
- Fazer individualmente ou em grupos o trabalho da Etapa 6, mas extraclasse;
- Propor uma atividade diferente sobre o caso Litvinenko, como o trabalho de investigação com elaboração de reportagem que propus no meu Produto Educacional, sobre os aspectos biológicos das radiações ionizantes (p. 153).
3º Momento Pedagógico – Aplicação do Conhecimento
- Ao invés de realizar a Etapa 6 sobre o caso Litvinenko como um fechamento da Organização do Conhecimento, pedir para abordarem outro tema e contexto relacionado à radioatividade (história, tecnologias, acidentes, etc.) e, assim, encerrar a sequência didática com o trabalho;
- Finalizar as aulas na Etapa 7, após as discussões do vídeo sobre o acidente radiológico de Goiânia;
- Substituir a Etapa 7 pela Etapa 8, selecionando questões do livro como o novo contexto da Aplicação do Conhecimento, trabalhando de modo crítico os exercícios que são apresentados de modo contextualizado.
–
Comentem as adaptações que elaborariam nos comentários 🙂
–
Downloads
- Plano de aula: “Do espião russo Alexander Litvinenko ao acidente em Goiânia: Proposta de ensino sobre radioatividade” (Baixar)
- Quadro: Sintetização da proposta (Baixar)
- Infográfico: “Entenda o caso do espião russo envenenado em Londres” (Fonte/Baixar)
- Notícias:
- “Ex-espião russo foi envenenado com material radioativo” (Fonte/Baixar)
- “Polônio é elemento radioativo ‘ideal para assassinato'” (Fonte/Baixar)
- “Rara, substância radioativa que matou espião russo é usada para pesquisa” (Fonte/Baixar)
- “Putin ‘provavelmente’ aprovou assassinato de espião russo em Londres, conclui relatório” (Fonte/Baixar)
E aí, gente. O que acharam? Implementariam?
Muito longa? Quais modificações vocês fariam nessa proposta?
Não deixem de comentar, pois é muito importante pra mim. ♥
Críticas e sugestões são sempre bem-vindas.
Se inscreva por e-mail para receber os novos materiais! ♥
Até semana que vem! 🌸
Karol
Pessoal, não percam o post da Karol, está ótimo.
Obrigada, professora! ♥